Datasheet ADA4310-1 (Analog Devices) - 9

FabricanteAnalog Devices
DescripciónLow Cost, Dual, High Current Output Line Driver with Shutdown
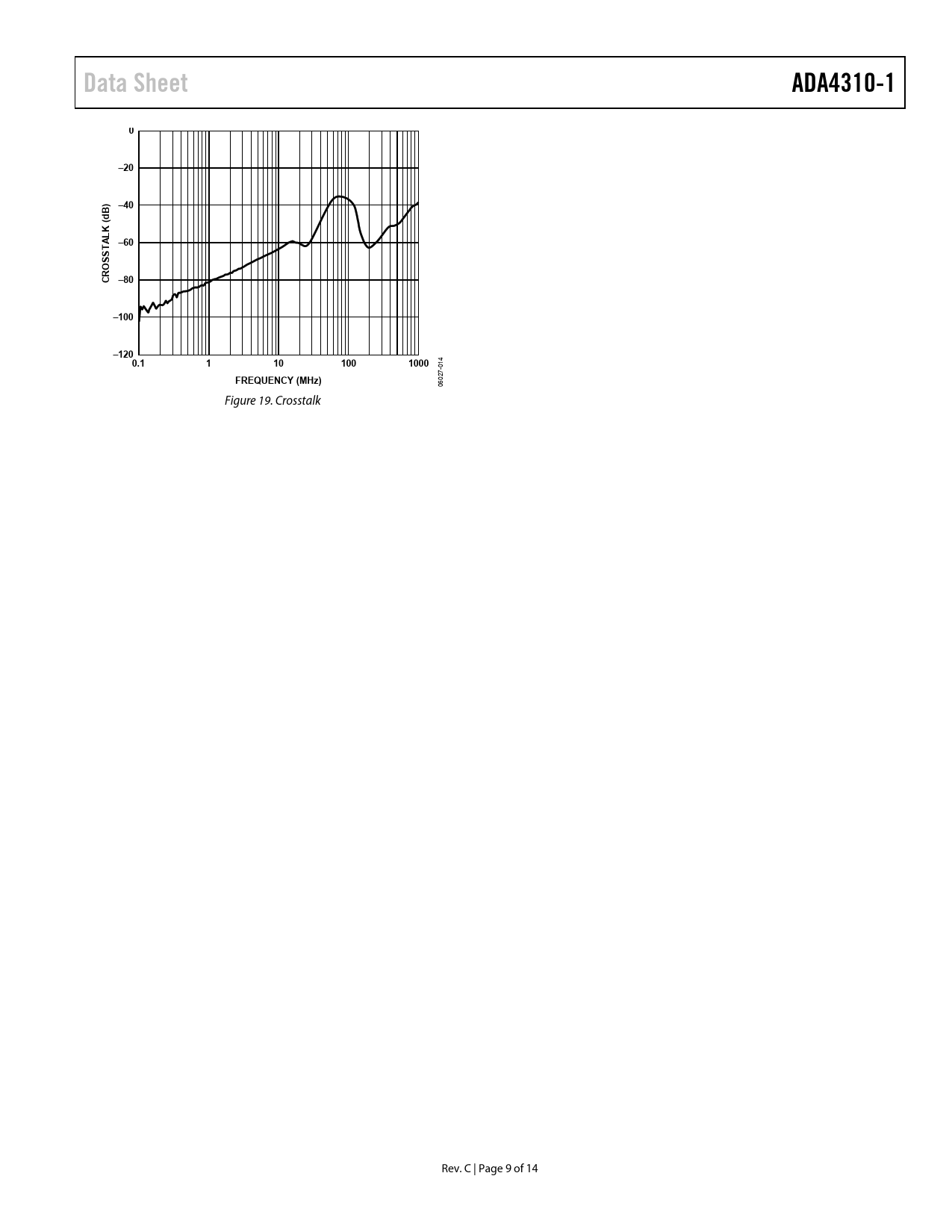
Páginas / Página14 / 9 — Data Sheet. ADA4310-1. –20. –40. dB) K (. –60. SSTAL. CRO –80. –100. …
RevisiónC
Formato / tamaño de archivoPDF / 413 Kb
Idioma del documentoInglés

Data Sheet. ADA4310-1. –20. –40. dB) K (. –60. SSTAL. CRO –80. –100. –1200.1. 100. 1000. FREQUENCY (MHz)

Data Sheet ADA4310-1 –20 –40 dB) K ( –60 SSTAL CRO –80 –100 –1200.1 100 1000 FREQUENCY (MHz)

Línea de modelo para esta hoja de datos

Versión de texto del documento

Data Sheet ADA4310-1 0 –20 –40 dB) K ( –60 SSTAL CRO –80 –100 –1200.1 1 10 100 1000
014
FREQUENCY (MHz)
06027- Figure 19. Crosstalk Rev. C | Page 9 of 14 Document Outline FEATURES APPLICATIONS PIN CONFIGURATIONS GENERAL DESCRIPTION REVISION HISTORY SPECIFICATIONS ABSOLUTE MAXIMUM RATINGS THERMAL RESISTANCE Maximum Power Dissipation ESD CAUTION PIN CONFIGURATION AND FUNCTION DESCRIPTIONS TYPICAL PERFORMANCE CHARACTERISTICS THEORY OF OPERATION APPLICATIONS INFORMATION FEEDBACK RESISTOR SELECTION POWER CONTROL MODES OF OPERATION EXPOSED THERMAL PAD CONNECTIONS POWER LINE APPLICATION BOARD LAYOUT POWER SUPPLY BYPASSING OUTLINE DIMENSIONS ORDERING GUIDE