Datasheet ADM803, ADM809, ADM810 (Analog Devices) - 10
| Fabricante | Analog Devices |
| Descripción | Microprocessor Supervisory Circuits in 3-Lead SC70 and SOT-23 |
| Páginas / Página | 11 / 10 — ADM803/ADM809/ADM810. Data Sheet. ORDERING GUIDE. Package. Model1. Reset … |
| Formato / tamaño de archivo | PDF / 211 Kb |
| Idioma del documento | Inglés |
ADM803/ADM809/ADM810. Data Sheet. ORDERING GUIDE. Package. Model1. Reset Threshold (V). Temperature Range. Branding2, 3. Quantity

Línea de modelo para esta hoja de datos
Versión de texto del documento
link to page 11 link to page 11 link to page 11
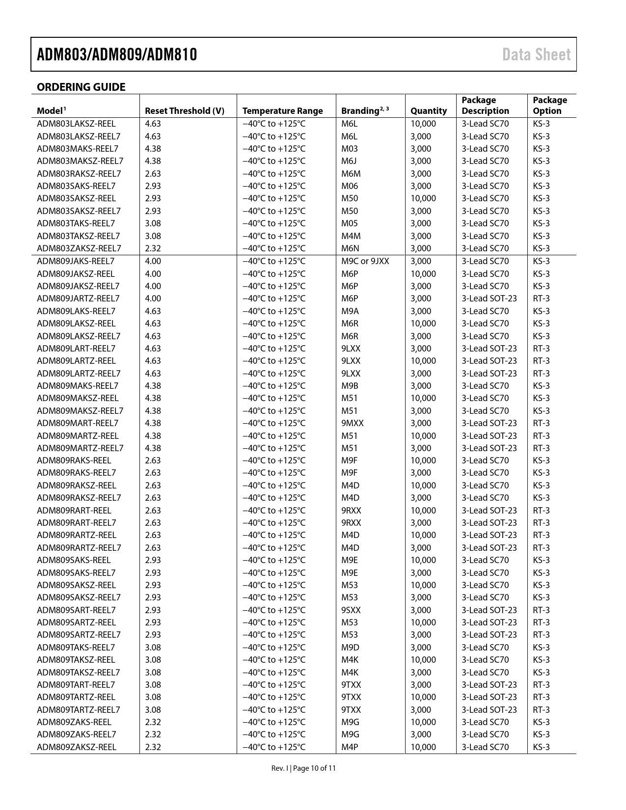
ADM803/ADM809/ADM810 Data Sheet ORDERING GUIDE Package Package Model1 Reset Threshold (V) Temperature Range Branding2, 3 Quantity Description Option
ADM803LAKSZ-REEL 4.63 −40°C to +125°C M6L 10,000 3-Lead SC70 KS-3 ADM803LAKSZ-REEL7 4.63 −40°C to +125°C M6L 3,000 3-Lead SC70 KS-3 ADM803MAKS-REEL7 4.38 −40°C to +125°C M03 3,000 3-Lead SC70 KS-3 ADM803MAKSZ-REEL7 4.38 −40°C to +125°C M6J 3,000 3-Lead SC70 KS-3 ADM803RAKSZ-REEL7 2.63 −40°C to +125°C M6M 3,000 3-Lead SC70 KS-3 ADM803SAKS-REEL7 2.93 −40°C to +125°C M06 3,000 3-Lead SC70 KS-3 ADM803SAKSZ-REEL 2.93 −40°C to +125°C M50 10,000 3-Lead SC70 KS-3 ADM803SAKSZ-REEL7 2.93 −40°C to +125°C M50 3,000 3-Lead SC70 KS-3 ADM803TAKS-REEL7 3.08 −40°C to +125°C M05 3,000 3-Lead SC70 KS-3 ADM803TAKSZ-REEL7 3.08 −40°C to +125°C M4M 3,000 3-Lead SC70 KS-3 ADM803ZAKSZ-REEL7 2.32 −40°C to +125°C M6N 3,000 3-Lead SC70 KS-3 ADM809JAKS-REEL7 4.00 −40°C to +125°C M9C or 9JXX 3,000 3-Lead SC70 KS-3 ADM809JAKSZ-REEL 4.00 −40°C to +125°C M6P 10,000 3-Lead SC70 KS-3 ADM809JAKSZ-REEL7 4.00 −40°C to +125°C M6P 3,000 3-Lead SC70 KS-3 ADM809JARTZ-REEL7 4.00 −40°C to +125°C M6P 3,000 3-Lead SOT-23 RT-3 ADM809LAKS-REEL7 4.63 −40°C to +125°C M9A 3,000 3-Lead SC70 KS-3 ADM809LAKSZ-REEL 4.63 −40°C to +125°C M6R 10,000 3-Lead SC70 KS-3 ADM809LAKSZ-REEL7 4.63 −40°C to +125°C M6R 3,000 3-Lead SC70 KS-3 ADM809LART-REEL7 4.63 −40°C to +125°C 9LXX 3,000 3-Lead SOT-23 RT-3 ADM809LARTZ-REEL 4.63 −40°C to +125°C 9LXX 10,000 3-Lead SOT-23 RT-3 ADM809LARTZ-REEL7 4.63 −40°C to +125°C 9LXX 3,000 3-Lead SOT-23 RT-3 ADM809MAKS-REEL7 4.38 −40°C to +125°C M9B 3,000 3-Lead SC70 KS-3 ADM809MAKSZ-REEL 4.38 −40°C to +125°C M51 10,000 3-Lead SC70 KS-3 ADM809MAKSZ-REEL7 4.38 −40°C to +125°C M51 3,000 3-Lead SC70 KS-3 ADM809MART-REEL7 4.38 −40°C to +125°C 9MXX 3,000 3-Lead SOT-23 RT-3 ADM809MARTZ-REEL 4.38 −40°C to +125°C M51 10,000 3-Lead SOT-23 RT-3 ADM809MARTZ-REEL7 4.38 −40°C to +125°C M51 3,000 3-Lead SOT-23 RT-3 ADM809RAKS-REEL 2.63 −40°C to +125°C M9F 10,000 3-Lead SC70 KS-3 ADM809RAKS-REEL7 2.63 −40°C to +125°C M9F 3,000 3-Lead SC70 KS-3 ADM809RAKSZ-REEL 2.63 −40°C to +125°C M4D 10,000 3-Lead SC70 KS-3 ADM809RAKSZ-REEL7 2.63 −40°C to +125°C M4D 3,000 3-Lead SC70 KS-3 ADM809RART-REEL 2.63 −40°C to +125°C 9RXX 10,000 3-Lead SOT-23 RT-3 ADM809RART-REEL7 2.63 −40°C to +125°C 9RXX 3,000 3-Lead SOT-23 RT-3 ADM809RARTZ-REEL 2.63 −40°C to +125°C M4D 10,000 3-Lead SOT-23 RT-3 ADM809RARTZ-REEL7 2.63 −40°C to +125°C M4D 3,000 3-Lead SOT-23 RT-3 ADM809SAKS-REEL 2.93 −40°C to +125°C M9E 10,000 3-Lead SC70 KS-3 ADM809SAKS-REEL7 2.93 −40°C to +125°C M9E 3,000 3-Lead SC70 KS-3 ADM809SAKSZ-REEL 2.93 −40°C to +125°C M53 10,000 3-Lead SC70 KS-3 ADM809SAKSZ-REEL7 2.93 −40°C to +125°C M53 3,000 3-Lead SC70 KS-3 ADM809SART-REEL7 2.93 −40°C to +125°C 9SXX 3,000 3-Lead SOT-23 RT-3 ADM809SARTZ-REEL 2.93 −40°C to +125°C M53 10,000 3-Lead SOT-23 RT-3 ADM809SARTZ-REEL7 2.93 −40°C to +125°C M53 3,000 3-Lead SOT-23 RT-3 ADM809TAKS-REEL7 3.08 −40°C to +125°C M9D 3,000 3-Lead SC70 KS-3 ADM809TAKSZ-REEL 3.08 −40°C to +125°C M4K 10,000 3-Lead SC70 KS-3 ADM809TAKSZ-REEL7 3.08 −40°C to +125°C M4K 3,000 3-Lead SC70 KS-3 ADM809TART-REEL7 3.08 −40°C to +125°C 9TXX 3,000 3-Lead SOT-23 RT-3 ADM809TARTZ-REEL 3.08 −40°C to +125°C 9TXX 10,000 3-Lead SOT-23 RT-3 ADM809TARTZ-REEL7 3.08 −40°C to +125°C 9TXX 3,000 3-Lead SOT-23 RT-3 ADM809ZAKS-REEL 2.32 −40°C to +125°C M9G 10,000 3-Lead SC70 KS-3 ADM809ZAKS-REEL7 2.32 −40°C to +125°C M9G 3,000 3-Lead SC70 KS-3 ADM809ZAKSZ-REEL 2.32 −40°C to +125°C M4P 10,000 3-Lead SC70 KS-3 Rev. I | Page 10 of 11 Document Outline FEATURES APPLICATIONS FUNCTIONAL BLOCK DIAGRAMS GENERAL DESCRIPTION TABLE OF CONTENTS REVISION HISTORY SPECIFICATIONS ABSOLUTE MAXIMUM RATINGS ESD CAUTION PIN CONFIGURATIONS AND FUNCTION DESCRIPTIONS TYPICAL PERFORMANCE CHARACTERISTICS INTERFACING TO OTHER DEVICES ENSURING A VALID RESET OUTPUT DOWN TO VCC = 0 V BENEFITS OF AN ACCURATE RESET THRESHOLD INTERFACING TO MICROPROCESSORS WITH MULTIPLE INTERRUPTS OUTLINE DIMENSIONS ORDERING GUIDE