Datasheet S6428-01, S6429-01, S6430-01, S7505-01 (Hamamatsu) - 4

FabricanteHamamatsu
DescripciónSi Photodiodes
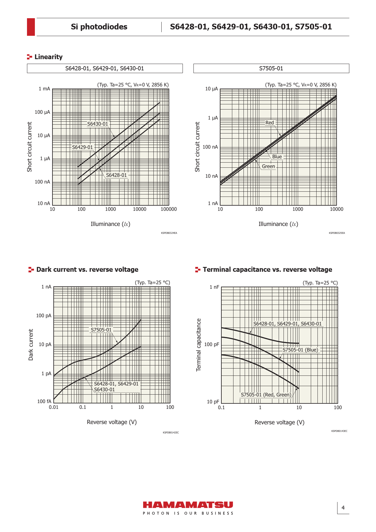
Páginas / Página6 / 4 — Si photodiodes S6428-01, S6429-01, S6430-01, S7505-01 Linearity
Formato / tamaño de archivoPDF / 232 Kb
Idioma del documentoInglés

Si photodiodes S6428-01, S6429-01, S6430-01, S7505-01 Linearity

Si photodiodes S6428-01, S6429-01, S6430-01, S7505-01 Linearity

Línea de modelo para esta hoja de datos

Versión de texto del documento

Si photodiodes S6428-01, S6429-01, S6430-01, S7505-01 Linearity
S6428-01, S6429-01, S6430-01 S7505-01 (Typ. Ta=25 °C, VR=0 V, 2856 K) 1 mA (Typ. Ta=25 °C, VR=0 V, 2856 K) 10 μA 100 μA Short circuit current Short circuit current 1 μA
S6430-01
10 μA
S6429-01
1 μA
S6428-01 Red 100 nA
Blue
Green
10 nA 100 nA 10 nA
10 100 1000 10000 1 nA
10 100000 Illuminance (lx) 100 1000 Illuminance (lx)
KSPDB0324EA KSPDB0325EA Dark current vs. reverse voltage Terminal capacitance vs. reverse voltage (Typ. Ta=25 °C) 1 nA 10000 (Typ. Ta=25 °C) 1 nF Terminal capacitance Dark current 100 pA
S7505-01
10 pA 1 pA S6428-01, S6429-01, S6430-01 100 pF
S7505-01 (Blue) S6428-01, S6429-01
S6430-01
S7505-01 (Red, Green)
100 fA
0.01 0.1 1 10 100 Reverse voltage (V) 10 pF
0.1 1 10 100 Reverse voltage (V)
KSPDB0142EC KSPDB0143EC 4