Datasheet AD8290 (Analog Devices) - 8
| Fabricante | Analog Devices |
| Descripción | G = 50, CMOS Sensor Amplifier with Current Excitation |
| Páginas / Página | 20 / 8 — AD8290. UNI. 1.296 1.297 1.298 1.299 1.300 1.301 1.302 1.303 1.304 1.305 |
| Revisión | B |
| Formato / tamaño de archivo | PDF / 543 Kb |
| Idioma del documento | Inglés |
AD8290. UNI. 1.296 1.297 1.298 1.299 1.300 1.301 1.302 1.303 1.304 1.305

Línea de modelo para esta hoja de datos
Versión de texto del documento
AD8290 25 25 20 20 ) 15 ) 15 % % ( ( S S T T UNI 10 UNI 10 5 5
9
0 0
12
1.296 1.297 1.298 1.299 1.300 1.301 1.302 1.303 1.304 1.305
00
–0.60 –0.56 –0.52 –0.48 –0.44 –0.40 –0.36 –0.32 –0.28
0 5- 5- 74 74 06
EXCITATION CURRENT (mA)
06
GAIN ERROR (%)
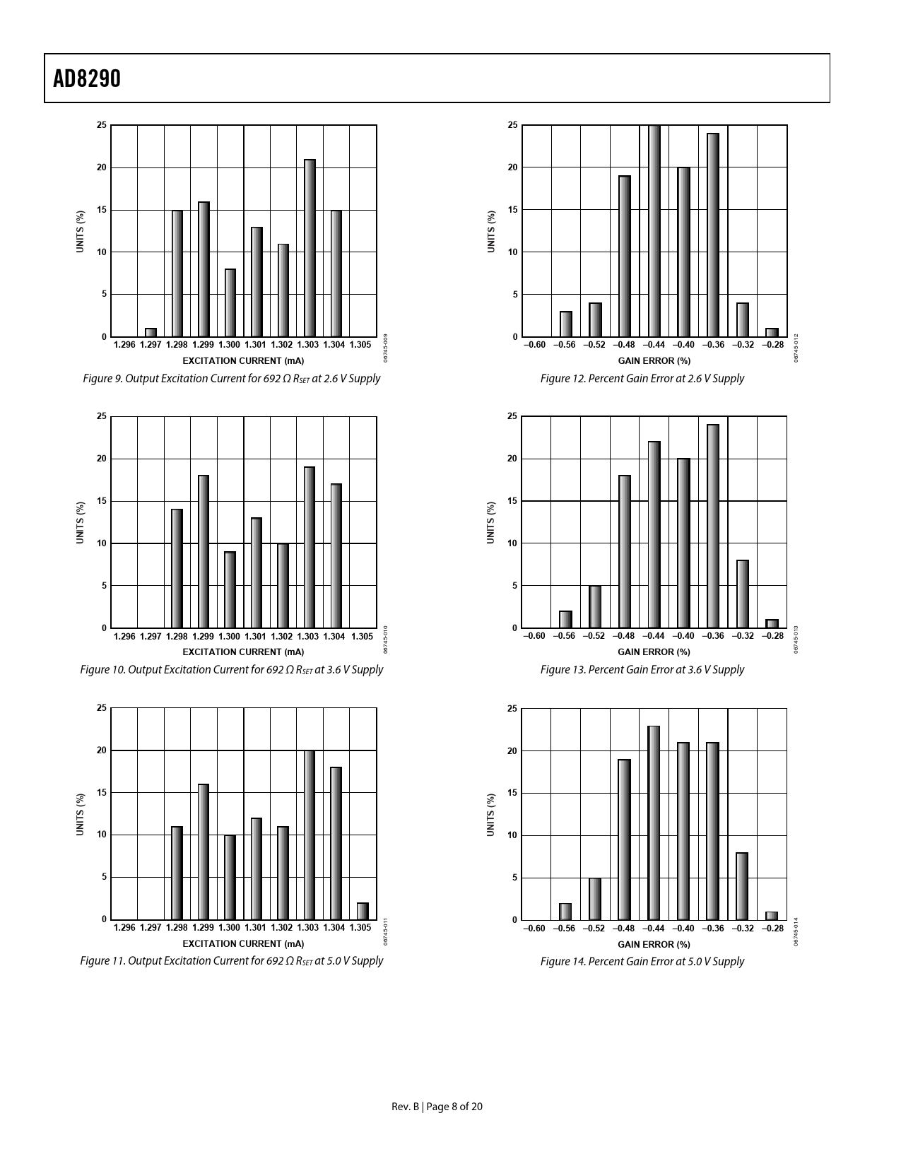
Figure 9. Output Excitation Current for 692 Ω RSET at 2.6 V Supply Figure 12. Percent Gain Error at 2.6 V Supply
25 25 20 20 ) 15 ) 15 % % ( ( S S T T UNI 10 UNI 10 5 5
0
0
3
0 1.296 1.297 1.298 1.299 1.300 1.301 1.302 1.303 1.304 1.305
01
–0.60 –0.56 –0.52 –0.48 –0.44 –0.40 –0.36 –0.32 –0.28
01 5- 5- 74 74 06
EXCITATION CURRENT (mA)
06
GAIN ERROR (%)
Figure 10. Output Excitation Current for 692 Ω RSET at 3.6 V Supply Figure 13. Percent Gain Error at 3.6 V Supply
25 25 20 20 ) 15 ) 15 % ( % ( S T S IT UNI 10 UN 10 5 5
1
0
4
0 1.296 1.297 1.298 1.299 1.300 1.301 1.302 1.303 1.304 1.305
01
–0.60 –0.56 –0.52 –0.48 –0.44 –0.40 –0.36 –0.32 –0.28
01 5- 45- 74 67 0
EXCITATION CURRENT (mA)
06
GAIN ERROR (%)
Figure 11. Output Excitation Current for 692 Ω RSET at 5.0 V Supply Figure 14. Percent Gain Error at 5.0 V Supply Rev. B | Page 8 of 20 Document Outline FEATURES APPLICATIONS GENERAL DESCRIPTION FUNCTIONAL BLOCK DIAGRAM TABLE OF CONTENTS REVISION HISTORY SPECIFICATIONS ABSOLUTE MAXIMUM RATINGS THERMAL RESISTANCE ESD CAUTION PIN CONFIGURATION AND FUNCTION DESCRIPTIONS TYPICAL PERFORMANCE CHARACTERISTICS THEORY OF OPERATION AMPLIFIER HIGH POWER SUPPLY REJECTION (PSR) AND COMMON-MODE REJECTION (CMR) 1/f NOISE CORRECTION CURRENT SOURCE APPLICATIONS INFORMATION TYPICAL CONNECTIONS CURRENT EXCITATION ENABLE/DISABLE FUNCTION OUTPUT FILTERING CLOCK FEEDTHROUGH MAXIMIZING PERFORMANCE THROUGH PROPER LAYOUT POWER SUPPLY BYPASSING DUAL-SUPPLY OPERATION PRESSURE SENSOR BRIDGE APPLICATION TEMPERATURE SENSOR APPLICATION ADC/MICROCONTROLLER OUTLINE DIMENSIONS ORDERING GUIDE