Datasheet AD8290 (Analog Devices) - 10

FabricanteAnalog Devices
DescripciónG = 50, CMOS Sensor Amplifier with Current Excitation
Páginas / Página20 / 10 — AD8290. 110. 125. DRIFT (ppm/°C). UNI
RevisiónB
Formato / tamaño de archivoPDF / 543 Kb
Idioma del documentoInglés

AD8290. 110. 125. DRIFT (ppm/°C). UNI

AD8290 110 125 DRIFT (ppm/°C) UNI

Línea de modelo para esta hoja de datos

Versión de texto del documento

AD8290 45 40 40 35 35 30 30 25 ) ) % % ( 25 ( S S 20 IT IT 20 UN UN 15 15 10 10 5 5 0 0
35 39 0
5 20 35 50 65 80 95 110 125
0
10 20 30 40 50 60 70 80 90
5- 5- 74
DRIFT (ppm/°C)
74 06
DRIFT (ppm/°C)
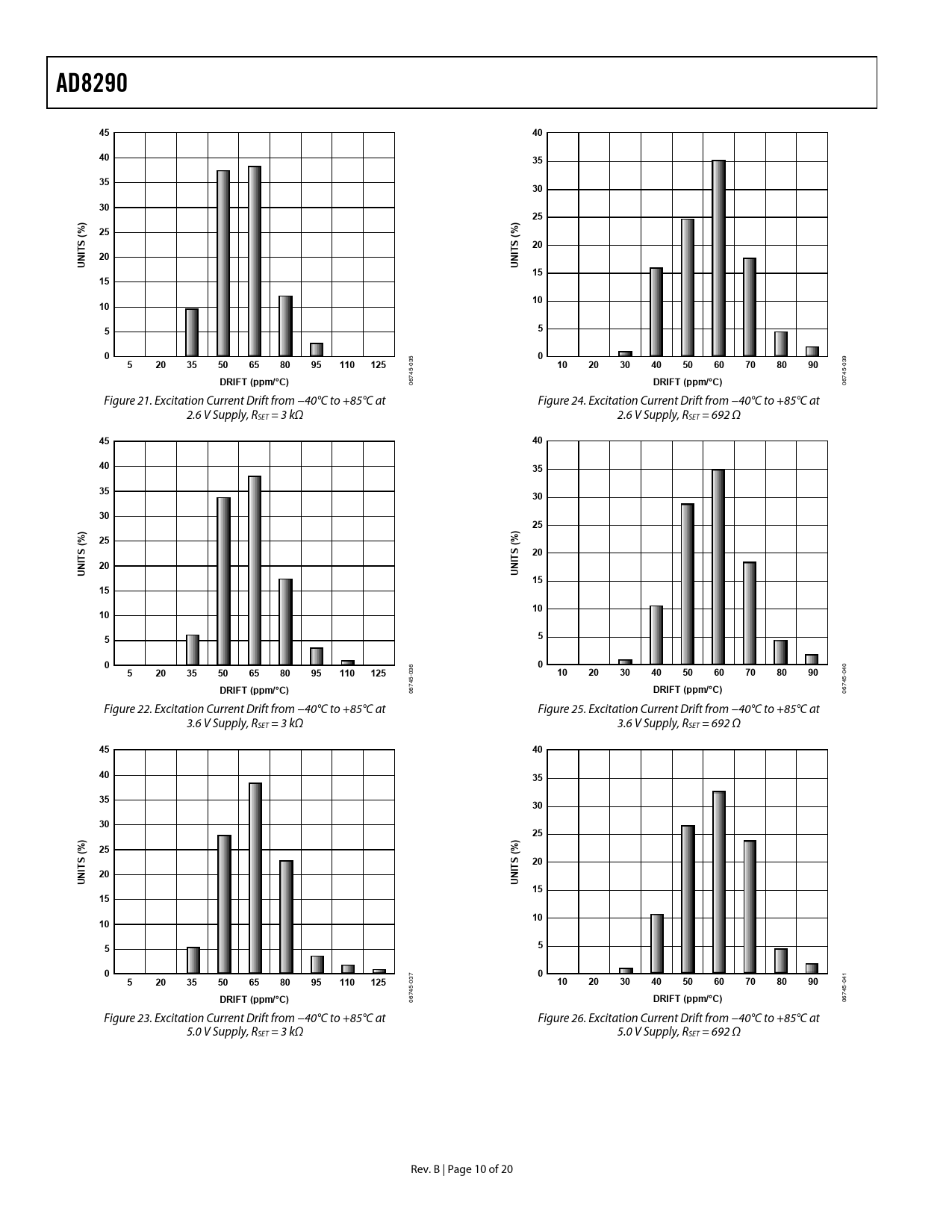
06 Figure 21. Excitation Current Drift from −40°C to +85°C at Figure 24. Excitation Current Drift from −40°C to +85°C at 2.6 V Supply, RSET = 3 kΩ 2.6 V Supply, RSET = 692 Ω
45 40 40 35 35 30 30 25 ) ) % % ( 25 ( S S 20 IT T 20 UN UNI 15 15 10 10 5 5 0 0
36 40 0
5 20 35 50 65 80 95 110 125
0
10 20 30 40 50 60 70 80 90
5- 5- 74 74
DRIFT (ppm/°C)
06
DRIFT (ppm/°C)
06 Figure 22. Excitation Current Drift from −40°C to +85°C at Figure 25. Excitation Current Drift from −40°C to +85°C at 3.6 V Supply, RSET = 3 kΩ 3.6 V Supply, RSET = 692 Ω
45 40 40 35 35 30 30 25 ) ) % % ( 25 ( S S 20 IT T 20 UN UNI 15 15 10 10 5 5 0 0
1 37 0
5 20 35 50 65 80 95 110 125
04
10 20 30 40 50 60 70 80 90
5- 5- 74 74
DRIFT (ppm/°C)
06
DRIFT (ppm/°C)
06 Figure 23. Excitation Current Drift from −40°C to +85°C at Figure 26. Excitation Current Drift from −40°C to +85°C at 5.0 V Supply, RSET = 3 kΩ 5.0 V Supply, RSET = 692 Ω Rev. B | Page 10 of 20 Document Outline FEATURES APPLICATIONS GENERAL DESCRIPTION FUNCTIONAL BLOCK DIAGRAM TABLE OF CONTENTS REVISION HISTORY SPECIFICATIONS ABSOLUTE MAXIMUM RATINGS THERMAL RESISTANCE ESD CAUTION PIN CONFIGURATION AND FUNCTION DESCRIPTIONS TYPICAL PERFORMANCE CHARACTERISTICS THEORY OF OPERATION AMPLIFIER HIGH POWER SUPPLY REJECTION (PSR) AND COMMON-MODE REJECTION (CMR) 1/f NOISE CORRECTION CURRENT SOURCE APPLICATIONS INFORMATION TYPICAL CONNECTIONS CURRENT EXCITATION ENABLE/DISABLE FUNCTION OUTPUT FILTERING CLOCK FEEDTHROUGH MAXIMIZING PERFORMANCE THROUGH PROPER LAYOUT POWER SUPPLY BYPASSING DUAL-SUPPLY OPERATION PRESSURE SENSOR BRIDGE APPLICATION TEMPERATURE SENSOR APPLICATION ADC/MICROCONTROLLER OUTLINE DIMENSIONS ORDERING GUIDE