Datasheet AD8290 (Analog Devices) - 9

FabricanteAnalog Devices
DescripciónG = 50, CMOS Sensor Amplifier with Current Excitation
Páginas / Página20 / 9 — AD8290. S T. UNI. 0.0030. 0.0040. 0.0050. 0.0060. 0.0070. –35. –15. 105. …
RevisiónB
Formato / tamaño de archivoPDF / 543 Kb
Idioma del documentoInglés

AD8290. S T. UNI. 0.0030. 0.0040. 0.0050. 0.0060. 0.0070. –35. –15. 105. 125. 0.0035. 0.0045. 0.0055. 0.0065. NONLINEARITY (%). DRIFT (µV/°C). 0.0090. 0.0120

AD8290 S T UNI 0.0030 0.0040 0.0050 0.0060 0.0070 –35 –15 105 125 0.0035 0.0045 0.0055 0.0065 NONLINEARITY (%) DRIFT (µV/°C) 0.0090 0.0120

Línea de modelo para esta hoja de datos

Versión de texto del documento

AD8290 40 50 35 40 30 25 ) ) 30 (% % S ( 20 T S T UNI UNI 20 15 10 10 5 0 0
31 26
0.0030 0.0040 0.0050 0.0060 0.0070
0
–35 –15 5 25 45 65 85 105 125
0
0.0035 0.0045 0.0055 0.0065
5- 5- 74 74
NONLINEARITY (%) DRIFT (µV/°C)
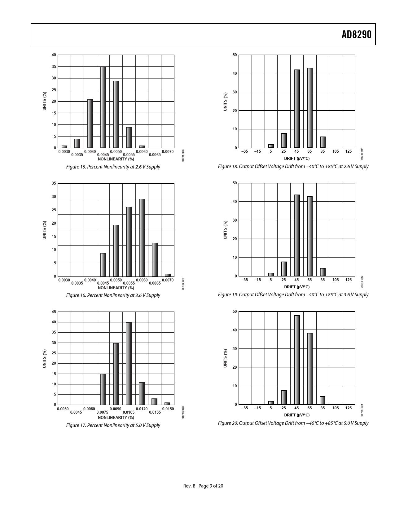
06 06 Figure 15. Percent Nonlinearity at 2.6 V Supply Figure 18. Output Offset Voltage Drift from −40°C to +85°C at 2.6 V Supply
35 50 30 40 25 ) ) 30 20 % % ( ( S S T IT 15 UNI UN 20 10 10 5 0 0 0.0030 0.0040 0.0050 0.0060 0.0070
32 27 0
–35 –15 5 25 45 65 85 105 125 0.0035 0.0045 0.0055 0.0065
0 5- 5- 74
NONLINEARITY (%)
74
DRIFT (µV/°C)
06 06 Figure 16. Percent Nonlinearity at 3.6 V Supply Figure 19. Output Offset Voltage Drift from −40°C to +85°C at 3.6 V Supply
45 50 40 40 35 30 ) ) 30 % 25 % ( ( S S IT T 20 UN UNI 20 15 10 10 5 0 0
33
0.0030 0.0060 0.0090 0.0120 0.0150
8 0
–35 –15 5 25 45 65 85 105 125
02 5-
0.0045 0.0075 0.0105 0.0135
5- 74 74
DRIFT (µV/°C) NONLINEARITY (%)
06 06 Figure 17. Percent Nonlinearity at 5.0 V Supply Figure 20. Output Offset Voltage Drift from −40°C to +85°C at 5.0 V Supply Rev. B | Page 9 of 20 Document Outline FEATURES APPLICATIONS GENERAL DESCRIPTION FUNCTIONAL BLOCK DIAGRAM TABLE OF CONTENTS REVISION HISTORY SPECIFICATIONS ABSOLUTE MAXIMUM RATINGS THERMAL RESISTANCE ESD CAUTION PIN CONFIGURATION AND FUNCTION DESCRIPTIONS TYPICAL PERFORMANCE CHARACTERISTICS THEORY OF OPERATION AMPLIFIER HIGH POWER SUPPLY REJECTION (PSR) AND COMMON-MODE REJECTION (CMR) 1/f NOISE CORRECTION CURRENT SOURCE APPLICATIONS INFORMATION TYPICAL CONNECTIONS CURRENT EXCITATION ENABLE/DISABLE FUNCTION OUTPUT FILTERING CLOCK FEEDTHROUGH MAXIMIZING PERFORMANCE THROUGH PROPER LAYOUT POWER SUPPLY BYPASSING DUAL-SUPPLY OPERATION PRESSURE SENSOR BRIDGE APPLICATION TEMPERATURE SENSOR APPLICATION ADC/MICROCONTROLLER OUTLINE DIMENSIONS ORDERING GUIDE